Валовой сбор омского зерна составил в 2024 году 151,8 % по сравнению с годом предыдущим.
Росстат подвел итоги социально-экономического положения субъектов Российской Федерации за 2024 год. Сводную таблицу (см. прикрепленный внизу файл) традиционно опубликовала «Российская газета».
Промышленность
— Наиболее значимым фактором развития экономики в последние три года является реальный сектор. Именно существенный рост промышленного производства в основном и предопределил общий показатель экономического роста. Но нужно отметить, что по сравнению с 2023 годом рост промышленного производства в 2024 году уже не был фронтальным. Уже около 20 регионов продемонстрировали снижение динамики промышленного производства. Среди них такие значимые, как Краснодарский край, Архангельская, Кемеровская, Челябинская области, – рассказал в статье «Рост», предваряющей итоги, директор Института народно-хозяйственного прогнозирования РАН Александр ШИРОВ.
И далее подчеркнул, что наиболее высокие темпы роста промышленного производства наблюдались в регионах с высокой долей оборонных производств: это Москва, Владимирская, Калужская и Тульская области.
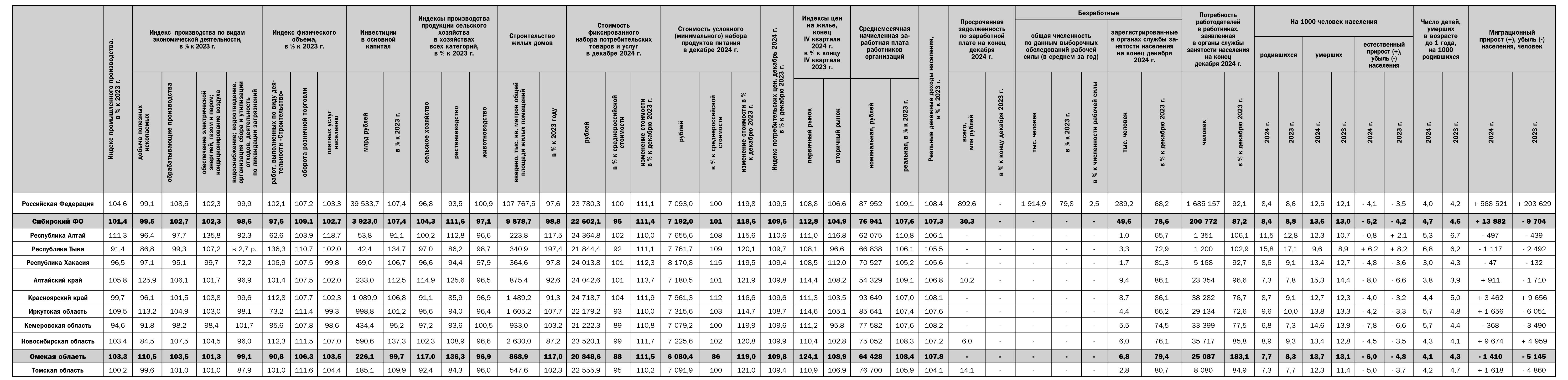
Впрочем, лидером по индексу промышленного производства по итогам 2024 год оказался наш сосед – Курганская область: 24,9%. На втором месте – Кабардино-Балкарская Республика 21,4%, что вызывает вопросы. Если изучить статистические отчеты этой республики более подробно, то выясняется, что наибольший рост дали производство напитков – в два раза, и все же «производство машин и оборудования, не включенных в другие группировки» – в 2,1 раза. В целом «объем отгруженных товаров собственного производства, выполненных работ и услуг собственными силами» по КБР в 2024 году составил по обрабатывающим производствам – 49 млрд руб., при том что в Омской области этот же годовой объем – 672,5 млрд.
Но Омская область, согласно статистике, уже не является одним из промышленных центров России – по объему отгруженных товаров собственного производства «перерабатывающих производств» мы в Сибирском Федеральном округе занимаем лишь шестое место. Даже после Алтайского края с их 715,3 млрд руб. А когда-то были чуть ли не шестыми в стране.
В этих отгруженных из предприятий Омской области товаров – на 142 млрд руб. – нефтепродукты (большая часть произведенной на омском НПЗ нефтепродуктов не считается омскими – процессинг!), 120,9 млрд руб. – пищевые продукты, 99,4 млрд – химические вещества и 82,8 млрд – «прочие транспортные средства и оборудование».
Что же касается индекса промышленного производства, то в Омской области за 2024 год он составил 103,3% – меньше общероссийских 104,6%.
Динамика производства «прочих транспортных средств и оборудования» (не будем уточнять, что это такое) составила в 2024 году 129,2 % (в 2022 году – 177%),
– «комплектующих и принадлежностей для автотранспортных средств прочих» – 117,3%,
– «оборудования специального назначения, не включенного в другие группировки» – 145,1%,
– «аппаратуры коммуникационной, аппаратуры радио- или телевизионной передающей; телевизионных камер» – 19,4% (общий объем выпуска продукции в этой позиции в Омской области по прошлому году достаточно приличный – 22,3 млрд руб.), а (неожиданно) – «белья постельного» – 166,2%.
Если говорить о пищевой промышленности, то выросли объемы производства водки – на 13,4%, пива – на 15,7%, майонеза – на 15%.
Интересно, что заметно увеличилось производства в физических объемах продукции длительного хранения:
– крупы – на 11,8%,
– «хлебцев хрустящих, сухарей, гренок и аналогичных обжаренных продуктов» – на 18,8%,
– «изделий хлебобулочных сухих прочих или хлебобулочных изделий длительного хранения» – в два раза.
Но упали объемы производства
– «хлеба и хлебобулочных изделий недлительного хранения» – на 4,8%,
– «изделий мучных кондитерских, тортов и пирожных недлительного хранения» – на 9,1%,
– «мяса и субпродуктов пищевых домашней птицы» – на 33,5%,
– «полуфабрикатов мясных, мясосодержащих, охлажденных, замороженных» – на 11,4%.
Строительство
«Российская газета» далее снова цитирует Александра ШИРОВА, который говорит все же о постепенном охлаждении темпов роста экономики, что заметнее всего отразилось на динамике строительных работ. По итогам 2024 года их объем сократился в Центральном (– 2,1%), Сибирском (– 2,5%) и Дальневосточном (– 5,3%) федеральных округах.
— Такое снижение объема строительства может быть сигналом как замедления темпов возведения жилья под воздействием сокращения льготных ипотечных программ, так и промышленного строительства под влиянием более жестких ограничений в области денежно-кредитной политики, – поясняет экономист.
В Омской области объем работ, выполненных по виду экономической деятельности «Строительство», в январе – декабре 2024 года составил к предыдущему году 90,8%. А если вернуться к промышленности и посмотреть объемы выпуска стройматериалов, то выяснится, что товарного бетона произведено меньше на 16,3%, «блоков и прочих изделий сборных строительных для зданий и сооружений из цемента, бетона, или искусственного камня" – на 15,2%. Разве что «плит из цемента, бетона» выпущено больше на 4,6%.
Банк России в своем докладе «Региональная экономика» (февраль 2025 года) сообщил:
— Загрузка производственных мощностей сибирских цементных заводов сократилась до 59% в 2024 г. после 61% в 2023 году. В компании по производству строительных металлоконструкций отметили, что в IV квартале строительные организации массово отказывались от предзаказов на продукцию, что привело к затовариванию складов – отказы составили порядка 30% от ранее заказанного объема. Производитель кирпича сообщил, что в IV квартале произвел только треть от возможного объема выпуска. В связи с сокращением заказов производитель кровельных материалов уменьшил количество рабочих смен, а комбинат по производству железобетонных изделий – объем инвестиций, отказавшись от проектов по расширению производства. Охлаждение спроса на продукцию отмечает и крупный производитель теплоизоляционных материалов.
Как указывает Омскстат, в 2024 году введены в эксплуатацию:
– две образовательные организации на 1672 ученических места: на 1122 ученических места в Омске и на 550 ученических мест в г. Исилькуле;
– организация высшего образования площадью 22 039 кв.метров учебно-лабораторных зданий в Омске (надо полагать, многострадальный корпус ОмГУ).
На этот раз Омской области есть чем похвастаться по жилому строительству: 117% к 2023 году.
Однако если проанализировать не в относительных величинах, то выяснится, что в нашем регионе в 2024 году ввели 868,9 тыс. кв.м общей площади жилых помещений, а в Новосибирской – после падения на 12,8%! – 2 630 тыс. кв.м, причем часть из этих площадей – омскими строителями. В этих показателях нам лучше, как и в примере с промышленностью, сравниваться с Алтайским краем – там ввели 875,4 тыс. кв.м.
Сельское хозяйство
Есть все же направление, где наш регион в 2024 году – один из лидеров в стране.
В 2024 году индекс производства продукции сельского хозяйства составил в стране 96,8%, свидетельствуют данные Росстата. Как сообщает «Российская газета», «снижение произошло за счет продукции растениеводства – из-за погодных катаклизмов урожай зерна оказался меньше более чем на 13% в сравнении с успешным 2023 годом. Зато производство мяса и молока приросло почти на 1%».
Так вот: в Омской области все тренды были прямо обратными: индекс производства в растениеводстве составил 136,3%, а в животноводстве – 96,9%. По растениеводству – это самый большой рост в стране. На втором месте Алтайский край с 125,6%.
Валовой сбор зерна (в весе после доработки) в хозяйствах всех категорий (сельскохозяйственные организации, крестьянские (фермерские) хозяйства, хозяйства населения), по предварительным данным, составлял в прошлом году 3 811,3 тыс. т (151,8 % к 2023 г.). Производство масличных культур по сравнению с предыдущим годом увеличилось на 59,5%, овощей – на 5,8% (это предварительные данные Омскстата).
Конечно, даже после неурожая Ростовская область, Краснодарский и Ставропольский края собрали зерна в разы больше Омской, но в СФО мы вторые после Алтайского края, собравшего 5 553,1 тыс. т зерна.
По масличным – тоже хорошо, но надо учитывать, что в сравнении с омскими 62,9 тыс. т семян подсолнечника (в весе после доработки), в Новосибирской области собрали 88,1 тыс. т, а в Алтайском крае – 1 151,3 тыс. т (!).
Вот с овощами мы в СФО – лидеры: 162,4 тыс. т против 133,1 тыс. т в Алтайском крае. Но какие еще там овощи – все занято, похоже, пшеницей и подсолнечником! Да еще трава для коров: молока Алтайский край произвел 1 071,8 тыс. т против 585,2 тыс. омских (при том что у нас с Алтаем общий тренд, обратный общероссийскому, – снижение объемов молока и мяса, но увеличение яйца).
Инфляция
Как сказано в годовом отчете Банка России, опубликованном 27 марта, «в 2024 году инфляция составила 9,5%. На протяжении года ценовое давление оставалось повышенным. За исключением периода с августа по октябрь, оно превосходило 2023 год, в результате чего показатель годовой инфляции увеличивался. Основной вклад в рост цен в течение 2024 года вносил рост внутреннего спроса, значительно опережавший возможности расширения предложения товаров и услуг...
В целом за год наиболее сильно подорожали услуги (11,5%) и продовольственные товары (11,1%). Рост цен на непродовольственные товары был более сдержанным (6,1%). В январе – апреле 2024 года инфляционные ожидания населения снижались, а с мая перешли к росту, который почти непрерывно продолжался до конца года. Ценовые ожидания предприятий в январе – марте уменьшались, а в апреле – декабре преимущественно увеличивались. Уровень инфляционных ожиданий был повышенным на протяжении всего 2024 года».
В другом докладе – «Региональная экономика» (февраль 2025 года) в разделе по СФО Банк России пишет:
— В декабре годовая инфляция в Сибири ускорилась, но осталась вблизи общероссийской. При этом месячный темп роста цен в макрорегионе (с.к.) несколько снизился относительно ноября. За последние 3 месяца средний рост цен в Сибири не превысил общероссийского значения. Основной вклад в инфляцию продолжает вносить продовольствие. Поставщики импортных фруктов и овощей утверждают, что рост стоимости на их продукцию вызван растущими логистическими издержками и произошедшим ослаблением рубля. Те же факторы определили повышение цен на бытовую технику, теле- и радиотовары. Ценовые ожидания сибирского бизнеса снизились, но сохраняются выше общероссийского показателя.
Индекс цен в Омской области (декабрь 2024 года к декабрю 2023 года) составил 109,8%. За предыдущий 2023 год этот индекс был равен 107,2%.
В наибольшей степени подорожали в 2024 году масло сливочное – на 37,2%, молоко и молочная продукция – на 17,4%, хлеб и хлебобулочные изделия – на 14,4%, масло подсолнечное – на 12,6%, рыба и морепродукты – на 12,5%.

Качество жизни
По данным Росстата, среднемесячная номинальная начисленная заработная плата составила в России 87,9 тыс. руб., а реальная увеличилась на 9,1%.
Самая высокая номинальная заработная плата в 2024 году была по-прежнему в Чукотском автономном округе – 184 970 руб., на втором месте ЯНАО – 163 881 руб., на третьем Москва – 162 124 руб.
В Омской области номинальная начисленная заработная плата составила 64 428 руб. (в 2023 году – 54 549 руб., в 2022 году – 46 565 руб.). И традиционная присказка: это средняя температура по больнице.
На производстве нефтепродуктов за январь – декабрь 2024 года она была 171,8 тыс. руб. (в декабре 2024 года – 308,6 тыс. руб.).
– ремонт и монтаж машин и оборудования – 102,6 тыс. руб. (в декабре 2024 года – 150,3 тыс. руб.);
– производство химических веществ и химических продуктов – 90,3 тыс. руб. (в декабре 2024 года – 115,4 тыс. руб.);
– производство прочих транспортных средств и оборудования – 96,7 тыс. руб. (в декабре 2024 года – 104,6 тыс. руб.);
– деятельность железнодорожного транспорта: грузовые перевозки – 92,2% (в декабре 2024 года – 108,5%).
При этом в такой отрасли, как
– растениеводство и животноводство, охота и предоставление соответствующих услуг в этих областях – 50,1 тыс. руб. (в декабре 2024 года – 54,2 тыс. руб.);
– производство одежды – 19,5 тыс. руб. (в декабре 2024 года – 21,7 тыс. руб.);
– образование – 46,9 тыс. руб. (в декабре 2024 года – 65,4 тыс. руб.).
Любопытны данные по среднемесячной зарплате таких категорий, как «государственное управление и обеспечение военной безопасности; социальное обеспечение» – среднемесячная по году здесь составила 72 тыс. руб., а в декабре 2024 года даже вышли на уровень работников ВПК – 138,2 тыс. руб.
В ежегодном докладе Омскстата по итогам 2024 года есть табличка «Распределение населения по величине среднедушевых денежных доходов» в 2023 году (среднемесячная зарплата в 2023 году – 54 549 руб.)
Все население – 100%, в том числе со среднедушевыми денежными доходами в месяц, рублей:
до 7 тысяч – 1,7% (в 2022 году – 2%);
от 7 до 10 тысяч – 3,5% (в 2022 году – 4,2%);
от 10 до 14 тысяч – 7,3% (в 2022 году – 8,4%);
от 14 до 19 тысяч – 11,1% (в 2022 году – 12,4%);
от 19 до 27 тысяч – 17,5 % (в 2022 году – 18,8%);
от 27 до 45 тысяч – 27,8% (в 2022 году – 27,8%);
– от 45 до 60 тысяч – 12,6% (в 2022 году – 11,6%);
свыше 60 тысяч – 18,5% (в 2022 году – 14,8%).
Интересно, что год назад в годовом сборнике Омскстата в 2022 году были иные цифры, но они были скорректированы с учетом данных Всероссийской переписи населения 2020 года: количество бедных уменьшилось, обеспеченных – увеличилось.
Но даже с их учетом 23,6% населения Омской области в 2023 году жило при среднедушевом денежном доходе – не более 19 тысяч рублей на человека в месяц.
Миграция
Напомним, что Омская область по итогам 2021 года занимала первое место в стране по миграционной убыли, по итогам 2022 года мы уже были четвертые, а по итогам 2023-го – третьи. В России.
Так что 2024- й, по сравнению, с предыдущими – уже более благополучный: уехавших больше, чем приехавших всего на 1410 человек против 5145 года предыдущего. Мы девятые в стране по данному разнице, но первые – по эту сторону Урала.
Причем в прошедшем году отмечена и естественная убыль: число умерших превышало число родившихся по области на 9812 человек, по городу Омску – на 5 056 человек.
Ранее статья была доступна только в печатной версии газеты “Коммерческие вести» от 23 апреля 2025 года.
Фото © из архива «Коммерческих Вестей»









